Date: 21 December 2023
Oasis Circular No.: 2313
Subject: MSA offices in the Bohai Rim jointly published 27 main public routes within the Bohai Sea and sea area to the east
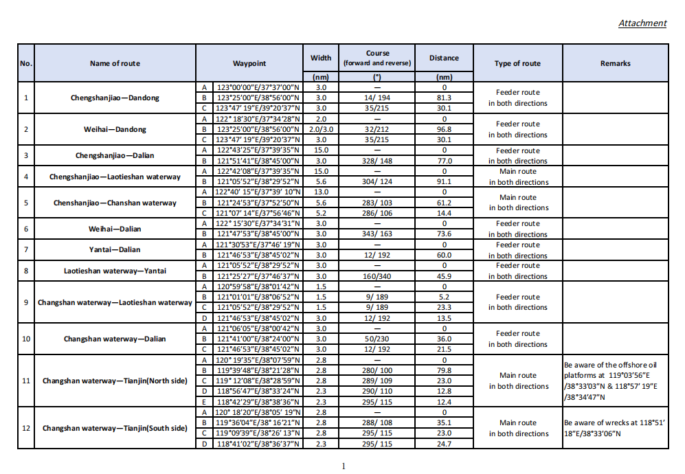
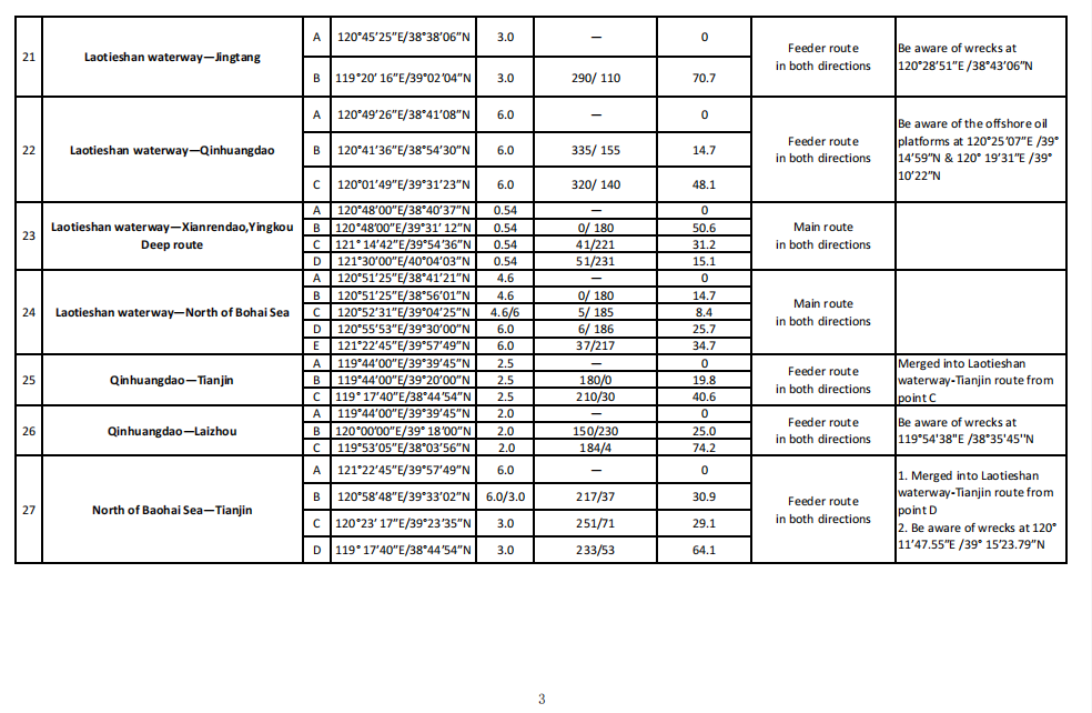
Local MSA offices of Tianjin, Liaoning, Hebei and Shandong jointly published 27 main public routes within the Bohai Sea and sea area to the east effective from 18 December 2023. This area has been frequent locations of collision incidents and fish farm claims in recent years.
The 27 routes are illustrated in the chart below with details listed in the attachment.

MSA suggestions on safe navigation
1. The breadth of the route described in the attachment is theoretical breadth. When the route is limited by natural environment and navigating conditions, the breadth shall be that of navigable waters.
2. Vessels should use the routes as much as possible and navigate to the right of the central line wherever possible.
3. Vessels should comply with relevant provisions of COLREGS 1972 and other local regulations published by MSA. When navigating in the routes, vessels should pay attention to the changing water depth to avoid grounding. Special care should be taken when entering, leaving or crossing the route and passing through certain areas where many vessels navigate or channels intersect with each other.
4. When crossing a route, vessels are recommended to navigate vertically to the route or traffic flow as much as possible, on condition that it doesn't affect the safe navigation of other vessels.
5. To ensure safety and prevent collision and other marine incidents, vessels should avoid anchoring or operating within the route.
We hope the above is of assistance. If there is any query, please feel free to contact us at oasis@oasispandi.com anytime.
Best regards,
Oasis P&I Services Company Limited


